╳
首页
医院概况
医院介绍
医院文化
院务公开
医疗设备
视频中心
党群建设
最新动态
新闻动态
工作动态
规范性文件
好人好事
下载专区
专家介绍
内科系统
外科系统
妇产科系统
儿科系统
市重点专科
神经内科
普外科
产科
泌尿外科
新生儿科
眼科
肿瘤科
医学检验科
护理部
科室导航
内科
外科
妇科
产科
儿科
新生儿科
眼、耳鼻喉科(眼、耳鼻喉科、口腔、颌面外科)
重症医学科
中医科、康复科
急诊科
皮肤科
麻醉科
检验科
药剂科
放射科
病理科
超声医学科
健康管理中心
临床护理
平山分院
科教护理
医学伦理委员会
就医指南
预约挂号
专家门诊
科室分布
区位导航
报告查询
预防保健
就诊须知
检查与检验
住院与出院
医保专栏
健康体检
病人的权利与义务
患者满意度调查
医疗服务价格
脑科学中心
中心概况
中心特色诊疗技术
中心人才队伍
中心先进设备
组织与管理架构
中心文化
中心Logo及设计理念
中心最新动态
创三甲专栏
人才招聘
联系我们
首页
>
新闻动态
>
工作动态
> 内容
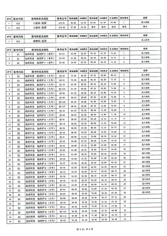
惠东县人民医院2019年公开招聘结果及体检名单公告
2019-7-5 阅读:2467
Copyright@2019-2025 惠东县人民医院 版权所有
地址:惠东县平山街道环城南路高桥水
客户服务部:0752-8999666 医院邮箱:hdph@hdph.com
360网站安全检测平台